Il teorema di Pitagora si applica solo ai triangoli
rettangoli, ma la sua conoscenza può essere utile in tutti quei casi in cui in
una figura piana è possibile ricavare un triangolo rettangolo.
Vediamo qualche esempio.
Triangolo equilatero
Tracciando l’altezza di un triangolo equilatero otteniamo
due triangoli rettangoli. Consideriamone uno.
Abbiamo:
AB = ipotenusa (il lato del triangolo equilatero corrisponde
all’ipotenusa)
BH = cateto (l’altezza del triangolo equilatero corrisponde
ad un cateto)
AH = cateto (metà del lato del triangolo equilatero
corrisponde all’altro cateto)
Proviamo a risolvere:
Un triangolo
rettangolo ha il perimetro di 78 cm. Calcola la sua area.
(78 : 3) cm = 26 cm
misura dei lati AB, BC, AC
(26 : 2) cm = 13 cm misura di AH
(26 x 22,51) : 2 cm2 = 292,63 cm2 area
del triangolo ABC
Triangolo isoscele
Tracciando l’altezza di un triangolo isoscele otteniamo due
triangoli rettangoli. Consideriamone uno.
Abbiamo:
AB = ipotenusa (il lato del triangolo isoscele corrisponde
all’ipotenusa)
BH = cateto (l’altezza del triangolo isoscele corrisponde ad
un cateto)
AH = cateto (metà della base del triangolo isoscele
corrisponde all’altro cateto)
Proviamo a risolvere:
Un triangolo isoscele
con l’area di 480 cm2, ha l’altezza lunga 30 cm. Calcola il
perimetro del triangolo.
(480 x 2) : 30 cm = 32 cm misura della base AC
(32 : 2) cm = 16 cm misura di AH
(34 x 2) + 32 = 100 cm perimetro del triangolo ABC
Quadrato
Tracciando una diagonale del quadrato otteniamo due
triangoli rettangoli isosceli , cioè con i cateti della stessa misura.
Consideriamone uno.
Abbiamo:
BD = ipotenusa (la diagonale corrisponde all’ipotenusa)
AD = AB = cateti (i lati del quadrato corrispondono ai
cateti)
Proviamo a risolvere:
Un quadrato ha la
superficie che misura 1747,24 m2. Calcola la misura della diagonale.
Rettangolo
Tracciando una diagonale del rettangolo otteniamo due
triangoli rettangoli. Consideriamone uno, il triangolo ABD.
Abbiamo:
AB = cateto (l’altezza del rettangolo corrisponde ad un
cateto)
AD = cateto (la base del rettangolo corrisponde all’altro
cateto)
BD = ipotenusa (la diagonale del rettangolo corrisponde
all’ipotenusa)
Proviamo a risolvere:
Un rettangolo ha il
perimetro di 252 cm e l’altezza è i 3/11 della base. Calcola l’area e la misura
della diagonale.
(252 : 2) cm = 126 cm semiperimetro
3/11 + 11/11 = 14/11 = 126 cm
(126: 14) cm = 9 cm valore di 1/11
(9 x 3) cm = 27 cm misura dell’altezza AB
(9 x 11) cm = 99 cm misura della base AD
(99 x 27) cm2 = 2 673 cm2 area del
rettangolo
Romboide
Tracciando le altezze del romboide otteniamo due triangoli
rettangoli. Consideriamone uno, il triangolo ABH.
Abbiamo:
BH = cateto (l’altezza del romboide corrisponde ad un
cateto)
AH = cateto
AB = ipotenusa (il lato obliquo del romboide corrisponde
all’ipotenusa)
Proviamo a risolvere:
Un romboide con la
base di 54 cm ha l’area di 1296 cm2. L’altezza divide la base in due parti una
doppia dell’altra. Calcola il perimetro del romboide.
(1296 : 54) cm = 24 cm misura di BH
(54 : 3) cm = 18 cm misura di AH
(54 x 2) + (30 x 2) cm = 168 cm perimetro
Rombo
Tracciando le due diagonali del rombo otteniamo quattro
triangoli rettangoli. Consideriamone uno, il triangolo ABE.
Abbiamo:
BE = cateto (metà della diagonale maggiore corrisponde ad un
cateto)
AE = cateto (metà della diagonale minore corrisponde
all’altro cateto)
AB = ipotenusa (il lato del rombo corrisponde all’ipotenusa)
Proviamo a risolvere:
In un rombo la somma
della lunghezza delle due diagonali misura 392 cm, una diagonale è i ¾
dell’altra. Calcolare perimetro, area ed altezza del rombo.
¾ + 4/4 = 7/4 = 392 cm
(392 : 7) cm = 56 cm valore di ¼
(56 x 3) cm = 168 cm misura della diagonale minore AC
(56 x 4) cm = 224 cm misura della diagonale maggiore BD
(168 : 2) cm = 84 cm misura di AE
(224 : 2) cm = 112 cm misura di BE
(140 x 4) cm = 560 cm misura del perimetro
(224 x 168) : 2 cm2 = 18816 cm2 area
del rombo
(18816 : 140) cm = 134,4 cm misura di CF, altezza del rombo
Trapezio rettangolo
Tracciando l’altezza di un trapezio rettangolo otteniamo un
triangolo rettangolo. Consideriamo il triangolo rettangolo CHD.
Abbiamo:
CH = cateto (l’altezza del trapezio corrisponde ad un
cateto)
HD = cateto (la differenza tra base maggiore e base minore
corrisponde all’altro cateto)
CD = ipotenusa (il lato obliquo del trapezio corrisponde
all’ipotenusa)
Proviamo a risolvere:
Di un trapezio
rettangolo conosciamo la misura della base minore, 60 cm e la misura della diagonale
minore, 68 cm . Sappiamo anche che il lato obliquo è i 2/3 della base minore.
Calcoliamo il perimetro di un rettangolo equivalente al trapezio e con la base
di 64 cm.
(60 : 3) x 2 cm = 40 cm misura di CD
(84 + 60) x 32 : 2 cm2 = 2304 cm2
misura dell’area del trapezio e del rettangolo
(2304 : 64) cm = 36 cm misura dell’altezza EF del rettangolo
(64 x 2) + (36 x 2) cm = 200 cm perimetro del rettangolo
Trapezio isoscele
Tracciando le altezze di un trapezio isoscele otteniamo due
triangoli rettangoli. Consideriamone uno, il triangolo rettangolo ABH.
Abbiamo:
BH = cateto (l’altezza del trapezio corrisponde ad un
cateto)
AH = cateto (la metà della differenza tra base maggiore e
base minore corrisponde all’altro cateto)
AB = ipotenusa (il lato obliquo del trapezio corrisponde
all’ipotenusa)
Proviamo a risolvere:
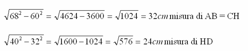
In un trapezio
isoscele la base maggiore, l’altezza ed una diagonale misurano rispettivamente
280 cm, 150 cm e 250 cm. Calcola il perimetro e l’area del trapezio.
Consideriamo il triangolo rettangolo ACK.
Troviamo la lunghezza del segmento KD = AH
(280 – 200) cm = 80 cm misura di KD e AH
Troviamo la lunghezza della base minore
280 – (80 x 2) cm = 120 cm misura di BC
Ora possiamo trovare la misura del lato obliquo
280 + 120 + (170 x 2) cm = 740 cm perimetro
Possiamo calcolare l’area
(280 + 120) x 150 : 2 = 30 000 cm2 area
ESERCIZI
·
Il
quadrilatero ABCD è formato dal triangolo rettangolo ABD e dal triangolo
isoscele BCD. Il cateto minore e l’ipotenusa del triangolo rettangolo misurano
rispettivamente 15 cm e 25 cm, mentre il lato obliquo del triangolo isoscele
misura 12,5 cm. Calcola il perimetro e l’area del quadrilatero.
·
Un
quadrato con il lato lungo 300 cm ed un triangolo isoscele formano un pentagono
come vedi in figura. Se l’area del pentagono è 102 000 cm2, qual è il perimetro
del pentagono?
·
Un
triangolo rettangolo con i cateti lunghi
140 cm e 48 cm ha lo stesso perimetro di un rettangolo con la base di 56 cm.
Calcola l’area e la diagonale del rettangolo (approssima ai decimi).
·
Un
trapezio isoscele ha la base maggiore di 525 cm e la base minore di 147 cm,
mentre il lato obliquo misura 315 cm. Calcola la base di un romboide equivalente al
trapezio e con l’altezza di 294 cm.






















